E-ISSN 2218-6050 | ISSN 2226-4485
 

Research Article


Open Veterinary Journal, (2025), Vol. 15(6): 2875-2881

Research Article

10.5455/OVJ.2025.v15.i6.25

Laryngoscopic evaluation of arytenoid movements in pure Arabian horses

Ghaliah Al_Shehab1, Razan Naji1, Fatimah Alali1, Anfal Alali1, Ahmad Allowaim1, Ali Almohammed1, Dawood Aljasim1, Amen Alkhalifah1, Yousef M. A. Alhammad2, Mohamed Marzok1, Zakriya Al Mohamad1, Abdulaziz Habib Almuhanna1*

1Department of Clinical Sciences, College of Veterinary Medicine, King Faisal University, Al-Ahsa, Saudi Arabia

2Department of Studies and Development, King Abdulaziz Arabian Horse Center (KAAHC), Riyadh, Saudi Arabia

* Correspondence to: Abdulaziz Habib Almuhanna. Department of Clinical Sciences, College of Veterinary Medicine, King Faisal University, Al-Ahsa, Saudi Arabia. Email: aalmohana [at] kfu.edu.sa

Submitted: 08/02/2025 Revised: 05/05/2025 Accepted: 10/05/2025 Published: 30/06/2025


Abstract

Background: The equine larynx can be affected by a variety of diseases that may interfere with upper respiratory tract patency. Laryngeal hemiplegia is a well-known disease in large-sized equine breeds and its occurrence in Arabian horses has not been thoroughly investigated.

Aim: To endoscopically assess arytenoid movements in pure Arabian horses.

Methods: A total number of 38 pure Arabian horses were examined. When the horse was unsedated, the laryngeal arytenoid movement was assessed using a laryngoscope, and a grading score was assigned accordingly.

Results: Evidence of laryngeal movement abnormalities was found in 24 horses (63.15%). The results of laryngoscopy grade were as follows:14 (36.84%) were found as grade 1, 18 were classified as grade 2 (47.36%), only 5 horses were assigned grade 3 (14.82%), one horse showed evidence of arytenoidectomy (2.63%), and none of the investigated horses had grade 4 (0%).

Conclusion: Although laryngeal hemiplegia is highly prevalent in large-sized equine breeds, pure Arabians are also affected by this disorder despite their relatively small size in comparison to other breeds like Thoroughbreds.

Keywords: Equine, Larynx, Arytenoids, Laryngoscopy, Hemiplegia..


Introduction

The equine larynx is an anatomically complex structure, and its main function is to ensure laryngeal patency to allow for constant air flow during respiration and to maintain tight closure of the larynx during the time of swallowing, therefore preventing the entrance of food particles into the respiratory system, which could otherwise lead to aspiration pneumonia (Goulden, 2002). Additionally, the larynx is also responsible for the generation of sounds as a means of communication (Waran, 2001). The dynamic movement of the larynx is primarily controlled by the contraction of the paired laryngeal muscles (Noordzij and Ossoff, 2006). Disturbances in the structure or function of the larynx interfere with its main functions (Fjeldborg et al., 2024). The equine larynx can be affected by a range of disorders affecting the epiglottis (e.g., epiglottic entrapment and sub epiglottic cyst), the arytenoids (e.g., arytenoid chondritis), and laryngeal muscles (e.g., laryngeal hemiplegia) (Rossignol and Ducharme, 2024).

Laryngeal hemiplegia, also known as equine recurrent laryngeal neuropathy (RLN), is one of the most important diseases affecting the upper respiratory tract in horses (Anderson, 2007). This condition is caused by selective degeneration of the distal motor axons within the recurrent laryngeal nerves, predominantly on the left side, which eventually results in paresis or paralysis of the corresponding laryngeal muscles (Cahill, 1985). Thus, loss of laryngeal muscle innervation leads to neurogenic muscular changes (Cahill and Goulden, 1986d). The degree of laryngeal muscle denervation correlates with the severity of the associated clinical signs, in which mild cases demonstrate fluttering of the affected arytenoid; asynchronous movement between the left and right arytenoids in moderately affected horses; or in the most severe form, it could even manifest as collapse of the affected arytenoid (Collins et al., 2009). The collapsed laryngeal arytenoid decreases the size of the rima glottides with subsequent air flow turbulence during inspiration (Dixon et al., 2009). Such abnormality usually results in the production of inspiratory noise known as roaring (which is clearly heard during high-speed riding competitions such as flat racing) (Anderson, 2007).

Despite extensive research describing the associated pathological features in the laryngeal nerves and muscles, the exact cause of laryngeal hemiplegia remains unknown; hence, it is still classified as idiopathic recurrent laryngeal neuropathy (Hahn and Mayhew, 2007). Many authors have described the underlying pathological changes in detail (Cahill and Goulden, 1986a, 1986b, 1986c, 1986d, 1986e; Draper et al., 2019; Draper and Piercy, 2018; Hahn et al., 2008). The major pathological abnormalities are those related to the loss of large-diameter myelinated axons and axonal degeneration (Draper and Piercy, 2018). Other nerve fiber abnormalities include axonal swellings that are mainly found in the paranodal regions, segmental de-myelination and remyelination, onion bulb formation, presence of regenerating clusters, and endoneurial proliferation (Cahill and Goulden, 1986c). Early work on the pathology of equine neuromuscular junctions (NMJs) have also revealed that horses with laryngeal hemiplegia had defective NMJs morphology, which was evidently seen as thinning and doubling of the endplate terminal in the left laryngeal muscles of subclinical cases and in the right-sided laryngeal muscles of the clinical cases (Duncan et al., 1978). However, there is conflicting evidence regarding the classification of RLN as polyneuropathy or bilateral mononeuropathy (Cahill and Goulden, 1986a; Hahn et al., 2008).

Several risk factors have been proposed to influence the occurrence of laryngeal hemiplegia in horses, including breed, age, sex, size, and hereditary (Dixon et al., 2009). It has been reported that the frequency of laryngeal hemiplegia tends to increase in large-sized or tall breed horses, such as drafts, Clydesdales, and Thoroughbreds (Brakenhoff et al., 2006); therefore, it is highly possible that smaller sized breeds, like Arabians, are less likely to be frequently affected by RLN. Currently, our understanding of the prevalence of RLN in purebred Arabian horses is limited due to the lack of available literature investigating RLN in this important breed. For this reason, this study aimed to endoscopically examine whether purebred Arabian horses would show evidence of laryngeal hemiplegia or not. If so, the endoscopic grade of laryngeal function will also be assigned. We hypothesized that Arabian horses would show endoscopic evidence of laryngeal hemiplegia and taller individuals would demonstrate severe endoscopic grades when compared with their counterparts.


Materials and Methods

In the current study, a total number of 38 purebred Arabian horses (10 stallions and 28 mares) were recruited. The age range of the examined horses was 2–20 years (mean age of 7.6 years). This work was carried out by visiting local equine stables in the Eastern Province of Saudi Arabia (Alahsa Region). Each horse was initially introduced to a stock to facilitate the procedure. Then, height and dorsal body length were measured through the application of commercial measuring tape to provide an indicator of body size estimate. The entire procedure was performed with each horse being unsedated to allow accurate laryngoscopic grading, as previously described (Lindegaard et al., 2007). In doing so, while the horse was standing on the stock, physical restraint was performed through the application of ear twitch. Then, a portable video endoscopy unit (with an insertion tube measuring 1,500 mm long and 8.3 mm in diameter) powered with a source of LED light and irrigation and insufflation systems, provided with a 2.8 mm instrumental channel, was employed (GUANGZHOU TUESHEN MEDICAL EQUIPMENT CO., LTD. CHINA).

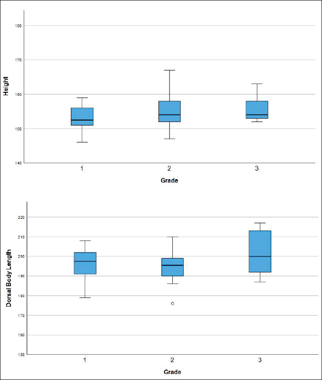
The laryngoscopic procedure involved applying little amount of lubricant gel on the tip of the insertion tube, which was then carefully introduced through the nasal cavity and advanced to the level of the nasopharynx. Once reached, the endoscopic position was further adjusted to maintain correct visualization of the larynx. Nasal occlusion and flushing of the larynx with distilled water were also performed to further assess the strength of arytenoid abduction and adduction. The grading system adopted in this study was similar to the internationally approved protocol (Robinson, 2004). Briefly, this protocol involved the assessment of laryngeal abduction, presence of fluttering of the arytenoids, and symmetry of laryngeal arytenoids movement. Once the endoscopic grading was assigned, the endoscopy was slowly removed, and care was taken not to injure the nasal mucosa during the removal of the endoscopy. The video recordings were archived and saved in an internal storage system. Spearsman’s correlation was performed to examine the strength of the association between body size (height at withers and dorsal body length) and severity of RLN (laryngoscopic grade). The study was approved by the Research Ethics Committee of King Faisal University (ETHICS2821).


Results

The procedure of laryngoscopic assessment was performed safely and allowed proper evaluation of the arytenoid movements. Subsequently, accurate grading of laryngeal hemiplegia in the examined horses was obtained (Table 1). In this study, abnormalities in arytenoids movement were observed only on the left side, whereas none of the examined animals showed evidence of right-sided involvement. The results of grading were as follows: 14 (36.84%) horses were classified as grade 1, 18 were assigned grade 2 (47.36%), only 5 horses were appointed grade 3 (14.82%), and none of the investigated horses showed endoscopic evidence of complete laryngeal paralysis (grade 4) (0%). Only one horse (2.63%) showed endoscopic evidence of arytenoidectomy, so laryngeal grading was not possible. No significant correlation was found between laryngoscopic grade and height at withers (R = 0.27, p value 0.09) or dorsal body length (R = 0.08, p value 0.59). Figure 1 illustrates the endoscopic grading of pure Arabian horses with various RLN grade, while body size measurement data is summarized in Figure 2.

Table. 1. Details of signalments for the examined horses including gender, age, dorsal body length, height, and results of endoscopic grading.

Fig. 1. llustration of laryngeal grading in the examined horses. Figure A shows the full abduction of a grade 1 horse. In figure B, the left arytenoid is not fully abducted as seen in figure A. Figure C shows the asymmetry in the abduction between the left and right arytenoids, with the left side partially collapsed (observe the position of left vocal cord in comparison to the right side). Figure D shows a horse with arytenoidectomy in the left side while the right arytenoid fully abducted.

Fig. 2. Boxplots showing the summery body size measurements of the horses involved in this study.


Discussion

This pilot study confirmed that purebred Arabian horses have laryngoscopic evidence of laryngeal hemiplegia. To the best of our knowledge, this is the first study to examine the strength of arytenoid movement in this important breed. The major findings of our study revealed that the vast majority of the examined individuals were assigned grade 2, although evidence of grade 1 and grade 3 laryngeal hemiplegia was also found. Such findings provide significant implications for the search for RLN etiology and carry the possibility of advancing our understanding of breed-related factors.

The current study showed that resting endoscopic examination is feasible and applicable in field conditions. Our results indicate that the percentages of laryngoscopic grading were 36.84% (grade 1), 47.36% (grade 2), 14.28% (grade 3), and 0% (grade 4). A previously published work on 375 mixed breed populations, including Thoroughbreds, revealed that 97% (351) of the examined horses were diagnosed with RLN, reflecting the high prevalence of RLN among that breed (Dixon et al., 2001). In addition, a recent meta-analysis study, using resting endoscopy, examined a total of 1827 horses of large breeds including Thoroughbreds, and Standardbreds showed that 399 (21,83%) of the examined population were classified as grade 1,984 representing (53,85%) were found to have grade 2, and 394 were assigned grade 3 (21,52%), whereas only 50 (0.02%) horses were given grade 4, such finding highlights that nearly half of the examined individuals were suffering from grade 2 RLN (Elliott and Cheetham, 2019). In the current study, similarly, it was noted that almost half of the examined horses were also classified as grad 2 RLN, indicating that a large proportion of Arabian horses are also mildly affected by RLN. Further research is needed to investigate histopathological changes indicative of neurogenic involvement in the laryngeal muscles.

In the last few years, research into the genetic etiology of RLN has expanded (Gerber, 2020; Gerber et al., 2015). Early work into the genetic causes of RLN was initially proposed based on the observation that RLN-affected stallions were noted to be more likely to produce RLN-affected offspring (Poncet et al., 1989). Lately, some authors have examined the genetic components responsible for body size in horses affected by RLN (Boyko et al., 2014; Brooks et al., 2018). Results of genome wide association (GWAS) in 282 RLN-affected Thoroughbreds showed a strong and significant correlation between RLN and the LCORL/ NCAPG locus in the ECA3 region. These genetic components are known to affect body size (Boyko et al., 2014). Furthermore, another GWAS study in 458 American Belgian Draft horses illustrated that RLN risk is associated with sexually dimorphic differences in height, suggesting that the tallest stallions are at higher risk of RLN severity than their counterparts (Brooks et al., 2018). On the contrary, our results failed to show a significant association between height at wither and laryngoscopic grading, which might be due to the fact that Arabian horses are not as tall as those of other breeds, especially Thoroughbreds (Yıldırım and Erden, 2023). Although it is well documented that Arabian horses are known to develop some genetically determined diseases (Gerber, 2020; Gerber et al., 2015), the genetic background of RLN in Arabian horses has not yet been investigated. Further research is required to examine the RLN status among Purebred Arabian horses in a large-scale study.

Pure Arabian horses have long been selectively bred in order to maintain specific facial beauty and athletic performance (Cosgrove et al., 2020). Such practices have led to the production of multiple generations with relatively smaller body sizes compared to other equine breeds, such as Thoroughbreds, Clydesdales, and Standardbreds. The fact that the examined horses in this study showed laryngoscopic evidence indicating RLN suggests that body size (for example height or dorsal body length) is not the sole risk factor in the etiology of RLN. Previous research into the etiology of RLN has shown that this disease is likely to be characterized by polygenic traits (Gerber et al., 2015). Further work is required to evaluate genes responsible for body size in order to examine their role in RLN occurrence in pure Arabian horses.


Conclusion

In conclusion, the work described in this study indicates that pure Arabian horses can be affected by RLN. Histopathological changes in the laryngeal nerve and muscle should also be evaluated. Such finding has profound implications for the search for RLN etiology.


Acknowledgments

The authors are thankful for the authorities of the College of Veterinary Medicine at King Faisal University for their unlimited support. The help provided by the equine owners is greatly appreciated.

Conflict of interest

The authors declare no conflict of interest.

Funding

This work was supported through the Annual Funding Track by the Deanship of Scientific Research, Vice Presidency for Graduate Studies and Scientific Research, King Faisal University, Saudi Arabia (GRANT No:KFU251910).

Author contributions

Abdulaziz Almuhanna conceptualized and designed the study. Abdulaziz Almuhanna, Ghaliah Al_shehab, Razan Naji, Fatimah Alali, Anfal Alali, Ahmad Allowaim, Ali Almohammed, Dawood Aljasim, and Amen Alkhalifah performed the endoscopic examination. Yousef M. A. Alhammad, Mohamed Marzok, and Zakriya Al Mohamad participated in data management and statistical analysis. Abdulaziz Almuhanna wrote the manuscript while Ghaliah Al_Shehab revised it. All authors have reviewed and approved the final draft of the manuscript.


References

Anderson, B.H. 2007. Recurrent laryngeal neuropathy: clinical aspects and endoscopic diagnosis. In Equine respiratory medicine and surgery. Eds., McGorum, B.C., Dixon, P.M., Robinson, N.E. and Schumacher, J. Edinburgh, UK: Saunders Elsevier, pp: 483–495.

Boyko, A.R., Brooks, S.A., Behan-Braman, A., Castelhano, M., Corey, E., Oliveira, K.C. and Robinson, N.E., 2014. Genomic analysis establishes correlation between growth and laryngeal neuropathy in Thoroughbreds. BMC Genom. 15, 1–9.

Brakenhoff, J.E., Holcombe, S.J., Hauptman, J.G., Smith, H.K., Nickels, F.A., Caron, J.P. and 2006. The prevalence of laryngeal disease in a large population of competition draft horses. Vet. Surg. 35, 579–583.

Brooks, S.A., Stick, J., Braman, A., Palermo, K., Robinson, N.E., Ainsworth, D.M. 2018. Identification of loci affecting sexually dimorphic patterns for height and recurrent laryngeal neuropathy risk in American Belgian Draft Horses. Physiol. Genom. 50(12), 1051–1058.

Cahill, J.I. 1985. The pathology of laryngeal hemiplegia in the horse. PhD thesis, Massey University, Palmerston North, New Zealand.

Cahill, J.I. and Goulden, B.E. 1986a. Equine laryngeal hemiplegia. Part I. A light microscopic study of peripheral nerves. N. Z. Vet. J. 34, 161–169.

Cahill, J.I. and Goulden, B.E. 1986(b). Equine laryngeal hemiplegia. Part II. An electron microscopic study of peripheral nerves. N. Z. Vet. J. 34, 170–175.

Cahill, J.I. and Goulden, B.E. 1986(c). Equine laryngeal hemiplegia. Part III. A teased fibre study of peripheral nerves. N. Z. Vet. J. 34, 181–185.

Cahill, J.I. and Goulden, B.E. 1986(d). Equine laryngeal hemiplegia. Part IV. Muscle pathology. N. Z. Vet. J. 34, 186–190.

Cahill, J.I. and Goulden, B.E. 1986(e). Equine laryngeal hemiplegia. Part V. Central nervous system pathology. N. Z. Vet. J. 34, 191–193.

Collins, N., Milne, E., Hahn, C. and Dixon, P. 2009. Correlation of the Havemeyer endoscopic laryngeal grading system with histopathological changes in equine cricoarytenoideus dorsalis muscles. Ir. Vet. J. 62, 334–338.

Cosgrove, E.J., Sadeghi, R., Schlamp, F., Holl, H.M., Moradi-Shahrbabak, M., Miraei-Ashtiani, S.R. and Stefaniuk-Szmukier, M. 2020. Genome diversity and the origin of the Arabian horse. Sci. Rep. 10, 9702.

Dixon, P.M., Hahn, C.N. and Barakzai, S.Z. 2009. Recurrent laryngeal neuropathy (RLN) research: where are we and to where are we heading? Equine Vet. J. 41, 324–327.

Dixon, P.M., McGorum, B.C., Railton, D.I., Hawe, C., Tremaine, W.H., Pickles, K. and McCann, J. 2001. Laryngeal paralysis: a study of 375 cases in a mixed-breed population of horses. Equine Vet. J. 33, 452–458.

Draper, A.C., Cahalan, S., Goodwin, D., Perkins, J. and Piercy, R.J. 2019. Assessing pathological changes within the nucleus ambiguus of horses with recurrent laryngeal neuropathy: an extreme, length-dependent axonopathy. Muscle Nerve. 60(6), 762–768.

Draper, A.C.E. and Piercy, R.J. 2018. Pathological classification of equine recurrent laryngeal neuropathy. J. Vet. Intern. Med. 32(4), 1397–1409.

Duncan, I.D., Griffiths, I.R. and Madrid, R.E. 1978. A light and electron microscopic study of the neuropathy of equine idiopathic laryngeal hemiplegia. Neuropathol. Appl. Neurobiol. 4, 483–501.

Elliott, S. and Cheetham, J. 2019. Meta-analysis evaluating resting laryngeal endoscopy as a diagnostic tool for recurrent laryngeal neuropathy in the equine athlete. Equine Vet. J. 51, 167–172.

Fjeldborg, J., Lindegaard, C. and Strand, E. 2024. The larynx. In: Equine Respiratory Endoscopy. Eds., Fjeldborg, J. and Lindegaard, C. Wallingford, UK: CABI, pp: 145–160.

Gerber, V. 2020. Genetics of equine respiratory disease. Vet. Clin. North Am. Equine Pract. 36(2), 243–253.

Gerber, V., Tessier, C. and Marti, E. 2015. Genetics of upper and lower airway diseases in the horse. Equine Vet. J. 47, 390–397.

Goulden, B. 2002. The equine larynx. N. Z. Vet. J. 50(sup3), 117.

Hahn, C. and Mayhew, J. 2007. Idiopathic recurrent laryngeal neuropathy: etiopathogenesis. In Equine respiratory medicine and surgery. Eds., McGorum, B.C., Dixon, P.M., Robinson, N.E. and Schumacher, J. Edinburgh, UK: Saunders Elsevier, pp: 473–477.

Hahn, C.N., Matiasek, K., Dixon, P.M., Molony, V., Rodenacker, K. and Mayhew, I.G. 2008. Histological and ultrastructural evidence that recurrent laryngeal neuropathy is a bilateral mononeuropathy limited to recurrent laryngeal nerves. Equine Vet. J. 40, 666–672.

Lindegaard, C., Husted, L., Ullum, H. and Fjeldborg, J. 2007. Sedation with detomidine and acepromazine influences the endoscopic evaluation of laryngeal function in horses. Equine Vet. J. 39, 553–556.

Noordzij, J.P. and Ossoff, R.H. 2006. Anatomy and physiology of the larynx. Otolaryngol. Clin. North Am. 39(1), 1–10.

Poncet, P.A., Montavon, S., Gaillard, C., Barrelet, F., Straub, R. and Gerber, H. 1989. A preliminary report on the possible genetic basis of laryngeal hemiplegia. Equine Vet. J. 21, 137–138.

Robinson, N.J. 2004. Consensus statements on equine recurrent laryngeal neuropathy: conclusions of the Havemeyer Workshop. Equine Vet. Educ. 16, 333–336.

Rossignol, F. and Ducharme, N.G. 2024. Diseases of the larynx and trachea. In Equine sports medicine and surgery. Eds., Hinchcliff, K.W., Kaneps, A.J., Geor, R.J. and Erck-Westergren, E.V. Edinburgh, UK: Saunders Ltd., Elsevier Health Sciences, pp: 1–28.

Waran, N.K. 2001. The social behaviour of horses. In Social behaviour in farm animals. Eds., Keeling, L.J. and Gonyou, H.W. Wallingford, UK: CABI Publishing, pp: 247–274.

Yıldırım, İ.G. and Erden, H. 2023. Conformational characteristics in Arabian and Thoroughbred horses. Anim. Health Prod. Hyg. 12, 27–35.



How to Cite this Article
Pubmed Style

Al_shehab G, Naji R, Alali F, Alali A, Allowaim A, Almohammed A, Aljasim D, Alkhalifah A, Alhammad YMA, Marzok M, Mohamad ZA, Almuhanna AH. Laryngoscopic evaluation of arytenoid movements in pure Arabian horses. Open Vet. J.. 2025; 15(6): 2875-2881. doi:10.5455/OVJ.2025.v15.i6.56


Web Style

Al_shehab G, Naji R, Alali F, Alali A, Allowaim A, Almohammed A, Aljasim D, Alkhalifah A, Alhammad YMA, Marzok M, Mohamad ZA, Almuhanna AH. Laryngoscopic evaluation of arytenoid movements in pure Arabian horses. https://www.openveterinaryjournal.com/?mno=241813 [Access: December 08, 2025]. doi:10.5455/OVJ.2025.v15.i6.56


AMA (American Medical Association) Style

Al_shehab G, Naji R, Alali F, Alali A, Allowaim A, Almohammed A, Aljasim D, Alkhalifah A, Alhammad YMA, Marzok M, Mohamad ZA, Almuhanna AH. Laryngoscopic evaluation of arytenoid movements in pure Arabian horses. Open Vet. J.. 2025; 15(6): 2875-2881. doi:10.5455/OVJ.2025.v15.i6.56



Vancouver/ICMJE Style

Al_shehab G, Naji R, Alali F, Alali A, Allowaim A, Almohammed A, Aljasim D, Alkhalifah A, Alhammad YMA, Marzok M, Mohamad ZA, Almuhanna AH. Laryngoscopic evaluation of arytenoid movements in pure Arabian horses. Open Vet. J.. (2025), [cited December 08, 2025]; 15(6): 2875-2881. doi:10.5455/OVJ.2025.v15.i6.56



Harvard Style

Al_shehab, G., Naji, . R., Alali, . F., Alali, . A., Allowaim, . A., Almohammed, . A., Aljasim, . D., Alkhalifah, . A., Alhammad, . Y. M. A., Marzok, . M., Mohamad, . Z. A. & Almuhanna, . A. H. (2025) Laryngoscopic evaluation of arytenoid movements in pure Arabian horses. Open Vet. J., 15 (6), 2875-2881. doi:10.5455/OVJ.2025.v15.i6.56



Turabian Style

Al_shehab, Ghaliah, Razan Naji, Fatimah Alali, Anfal Alali, Ahmad Allowaim, Ali Almohammed, Dawood Aljasim, Amen Alkhalifah, Yousef M. A. Alhammad, Mohamed Marzok, Zakriya Al Mohamad, and Abdulaziz H. Almuhanna. 2025. Laryngoscopic evaluation of arytenoid movements in pure Arabian horses. Open Veterinary Journal, 15 (6), 2875-2881. doi:10.5455/OVJ.2025.v15.i6.56



Chicago Style

Al_shehab, Ghaliah, Razan Naji, Fatimah Alali, Anfal Alali, Ahmad Allowaim, Ali Almohammed, Dawood Aljasim, Amen Alkhalifah, Yousef M. A. Alhammad, Mohamed Marzok, Zakriya Al Mohamad, and Abdulaziz H. Almuhanna. "Laryngoscopic evaluation of arytenoid movements in pure Arabian horses." Open Veterinary Journal 15 (2025), 2875-2881. doi:10.5455/OVJ.2025.v15.i6.56



MLA (The Modern Language Association) Style

Al_shehab, Ghaliah, Razan Naji, Fatimah Alali, Anfal Alali, Ahmad Allowaim, Ali Almohammed, Dawood Aljasim, Amen Alkhalifah, Yousef M. A. Alhammad, Mohamed Marzok, Zakriya Al Mohamad, and Abdulaziz H. Almuhanna. "Laryngoscopic evaluation of arytenoid movements in pure Arabian horses." Open Veterinary Journal 15.6 (2025), 2875-2881. Print. doi:10.5455/OVJ.2025.v15.i6.56



APA (American Psychological Association) Style

Al_shehab, G., Naji, . R., Alali, . F., Alali, . A., Allowaim, . A., Almohammed, . A., Aljasim, . D., Alkhalifah, . A., Alhammad, . Y. M. A., Marzok, . M., Mohamad, . Z. A. & Almuhanna, . A. H. (2025) Laryngoscopic evaluation of arytenoid movements in pure Arabian horses. Open Veterinary Journal, 15 (6), 2875-2881. doi:10.5455/OVJ.2025.v15.i6.56