E-ISSN 2218-6050 | ISSN 2226-4485
 

Original Article


Open Veterinary Journal, (2022), Vol. 12(6): 787–796

Original Research

10.5455/OVJ.2022.v12.i6.2

African swine fever detection and transmission estimates using homogeneous versus heterogeneous model formulation in stochastic simulations within pig premises

Amos Ssematimba1,2,†*, Sasidhar Malladi1,†, Peter J. Bonney1, Kaitlyn M. St. Charles1, Timothy C. Boyer3, Timothy Goldsmith1, Carol J. Cardona1, Cesar A. Corzo1 and Marie R. Culhane1

1Secure Food Systems Team, College of Veterinary Medicine, University of Minnesota, Saint Paul, Minnesota, 55108, USA

2Department of Mathematics, Faculty of Science, Gulu University, Gulu, Uganda

3U.S. Department of Agriculture, Animal and Plant Health Inspection Service, Veterinary Services, Science Technology and Analysis Services, Center for Epidemiology and Animal Health, Fort Collins, Colorado, USA

The authors contributed equally

Submitted: 14/06/2022 Accepted: 08/10/2022 Published: 05/11/2022

*Corresponding Author: Amos Ssematimba. Secure Food Systems Team, College of Veterinary Medicine, University of Minnesota, Saint Paul, MN. Email: amos.ssematimba [at] gmail.com


Abstract

Background: African swine fever (ASF) is one of the most important foreign animal diseases to the U.S. swine industry. Stakeholders in the swine production sector are on high alert as they witness the devastation of ongoing outbreaks in some of its most important trade partner countries. Efforts to improve preparedness for ASF outbreak management are proceeding in earnest and mathematical modeling is an integral part of these efforts.

Aim: This study aimed to assess the impact on within-herd transmission dynamics of ASF when the models used to simulate transmission assume there is homogeneous mixing of animals within a barn.

Methods: Barn-level heterogeneity was explicitly captured using a stochastic, individual pig-based, heterogeneous transmission model that considers three types of infection transmission, (1) within-pen via nose-to-nose contact; (2) between-pen via nose-to-nose contact with pigs in adjacent pens; and (3) both between- and within-pen via distance-independent mechanisms (e.g., via fomites). Predictions were compared between the heterogeneous and the homogeneous Gillespie models.

Results: Results showed that the predicted mean number of infectious pigs at specific time points differed greatly between the homogeneous and heterogeneous models for scenarios with low levels of between-pen contacts via distance-independent pathways and the differences between the two model predictions were more pronounced for the slow contact rate scenario. The heterogeneous transmission model results also showed that it may take significantly longer to detect ASF, particularly in large barns when transmission predominantly occurs via nose-to-nose contact between pigs in adjacent pens.

Conclusion: The findings emphasize the need for completing preliminary explorations when working with homogeneous mixing models to ascertain their suitability to predict disease outcomes.

Keywords: African swine fever, Gillespie algorithm, Heterogeneity, Transmission models, Homogeneous mixing.


Introduction

African swine fever (ASF) is a World Organisation for Animal Health-listed, highly fatal, and socioeconomically devastating viral disease of domestic and feral swine that currently has neither an approved vaccine nor treatment. It is endemic in some parts of the world (e.g., sub-Saharan Africa) and there are ongoing outbreaks in both Asian and European countries (Normile, 2019). After ASF virus (ASFV)-specific prevention measures fail, the incursion of ASFV causes disease outbreaks that can be far-reaching and long-lasting. Strategies to rapidly control outbreaks include testing and removal (with mixed results; Swine Health Information Center, 2021) as well as culling affected farms; although, in some cases culling just the affected farms results in only partial control and hence entire regions have to be depopulated (e.g., see Council of the European Union, 2002; United States Department of Agriculture (USDA), 2021). Such measures negatively impact the swine industry and more generally food security and the livelihoods of farmers and those in the allied industries (Mason-D’Croz et al., 2020; OIE, 2020).

To improve outbreak management strategies, proactive risk assessments that include simulation modeling of disease transmission dynamics under varying circumstances can be used to guide policy for effective surveillance of infected farms, deployment of critical activities to prevent further outbreak spread, and continuity of business for farms that are not known to be infected within a region (see Hayes et al., 2021 for ASF modeling review). When focusing on modeling ASFV transmission within a single swine barn, it is important to include several pathways and mechanisms that can facilitate its spread. These may include direct (e.g., nose-to-nose) or indirect (e.g., fomite-mediated) contact between pigs (Depner et al., 2016; Schulz et al., 2019; Lee et al., 2020). Additional factors that may influence the speed of ASFV spread include those related to virus-host interactions, farm management, and environmental conditions (Schulz et al., 2019).

Ideally, in order to improve the accuracy of the model outcomes, all details of the influential disease spread mechanisms would need to be explicitly captured in the disease transmission model. Such details are better captured in heterogeneous models rather than homogeneous models which assume uniform mixing between all animals in the population. Although it is recognized that using a homogenous model with a uniform mixing assumption may result in oversimplification and underestimation, the heterogeneous models are not often deployed due to their computational intensity and the necessitation of more refined data to parameterize (Keeling and Rohani, 2008). The rapid results generated from the homogeneous models can also provide quick insights into disease spread dynamics and are therefore useful under time-sensitive circumstances. For highly transmissible and fast-spreading swine diseases like foot and mouth disease, homogeneous mixing within the barn can be a reasonable simplifying assumption (Kinsley et al., 2018). Detailed descriptions of how these approaches may differ have been reported elsewhere (Hethcote, 1996; Bansal et al., 2007; Burr and Chowell, 2008; Keeling and Rohani, 2008; Kong et al., 2016; Andraud and Rose, 2020).

A variety of approaches have been used in the literature to model within barn ASFV transmission. For example, Guinat et al. (2016) and Faverjon et al. (2021) model transmission heterogeneously, and both assume that transmission occurs due to direct contacts within-pen and between-pen. A similar approach is used by Nielsen et al. (2017) who assume ASFV can be transmitted to non-adjacent pens according to a distance-dependent scaling factor. On the other hand, Barongo et al. (2016) and Malladi et al. (2022) assume homogeneous mixing of the pigs in the population.

In this article, we explain a novel heterogeneous approach that was developed and assumes that ASFV transmission occurs due to direct within- and between-pen contacts as well as via distance-independent pathways. We explore the effect of heterogeneity on simulated output through comparison to the output from a homogeneous mixing Gillespie algorithm, that is, a continuous-time transmission model used for fast simulation of stochastic processes (Gillespie, 1977; Vestergaard and Génois, 2015). The developed model captures the clustering of infected pens with jumps between pens via distance-independent pathways based on ASF outbreak observations.

We evaluated simulated output from the heterogeneous model for a variety of scenarios. These scenarios included variations in (a) the number of infectious pigs over time post-virus exposure for slow and fast contact rates; (b) contact patterns as informed by barn layout and pen structure, for example, that varied by the relative importance of within-pen and between-pen spread and distance-independent transmission; and (c) the time to detection based on elevated mortality for different population sizes and the amount of transmission due to distance-independent pathways. Since heterogeneity in infection rates can influence epidemic spread (Cai et al., 2013), our endeavors included the imperative step of measuring the impact of the underlying model assumptions in our efforts to improve interpretation and model selection.


Materials and Methods

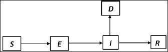
We used a stochastic individual-based heterogeneous transmission model to simulate ASFV spread within one growing pig production premises. The heterogeneous transmission model incorporates different transmission rates within and between pig subpopulations such as pens and rooms. The model simulates the number of pigs in susceptible (S), latent (E), infectious (I), recovered (R), and dead (D) states in 0.01-day time steps (Δt) and a schematic model for the transmission dynamics is presented in Figure 1. The number of pigs with mild clinical signs, severe clinical signs, and detectable viremia was also reported to support surveillance evaluation; however, these states do not impact the transmission dynamics in the current model. An infectious pig may transition to the dead state with a probability Pmort or transition to the recovered state otherwise. The disease state durations were all modeled to be Gamma distributed. In what follows, we provide the equations for various within- and between-pen transmission mechanisms. Wherever used, Is and Ns are, respectively, the number of infectious and the total number of pigs in a pen s. The presented formulations for the transmission terms follow derivations described previously (Becker, 1989; Ssematimba et al., 2018).

Fig. 1. A schematic diagram capturing the transmission dynamics of the ASFV within a herd. Infected pigs can be either subclinical or clinical and this was modeled as an attribute to support further analysis.

Transmission term expression for contacts that exclusively occur within a pen

We assume that transmission via contacts that exclusively occur within a pen is frequency-dependent (e.g., direct contact with pen mates). The number of contacts each susceptible pig has with other pigs in the same pen per unit time is assumed to be Poisson distributed with mean Bd per unit time. The probability Pd that a susceptible pig in a pen k has contact with at least one infectious pig within the same pen in time step ∆t is given by

P d = 1 exp ( B d I k N k Δ t )

Between-pen transmission via nose-to-nose contact with adjacent pens

Here, we consider a pen k with two adjacent pens k−1 and k+1 separated by railings where nose-to-nose contact between pigs may occur. Let η be the mean number of contacts per unit time with pigs in adjacent pens (e.g., nose-to-nose) per pig per railing and βns be the total number of contacts with pigs in adjacent pens per unit time. Because there are two adjacent pens, the mean number of contacts with pigs in adjacent pens per time step would be 2η∆t or equivalently Bns∆t. Assuming that the number of contacts is Poisson distributed, then the probability Pns that a susceptible pig has a nose-to-nose contact with at least one infectious pig in one of the two adjacent pens in time step ∆t is given by,

P n s = 1 exp ( B n s I k 1 + I k + 1 N k 1 + N k + 1 Δ t )

We now consider an edge pen k with only one adjacent pen k+1. In this case, the expected number of contacts between pigs in pens k and k+1 in a time step is η∆t or equivalently 0.5 × Bns∆t. Note that if the adjacent pen contact rate was not adjusted to 1/2βns for an edge pen, there would be a discrepancy in the number of contacts between the source and recipient pens.

Between- and within-pen transmission via distance-independent mechanisms

We consider that contacts for distance-independent transmission mechanisms, for example, via fomites, people, etc., may occur at a similar frequency throughout the barn regardless of whether the pigs are within the same pen. Assuming that the number of contacts per unit time for these mechanisms is Poisson distributed with mean βp, the probability that at least one of the contacts via distance-independent transmission mechanisms in time step ∆t is with an infectious pig is given by:

P p = 1 exp ( B p i + I i i + N i Δ t )

The overall probability that a susceptible pig in pen k at time t becomes infected by t+∆t is given by Po in Equations (4) and (5) for a pig in non-edge and edge pens, respectively

P o = 1 exp ( ( i + I i i + N i + B d I k N k + B n s I k 1 + I k + 1 N k 1 + N k + 1 ) Δ t )

P o = exp B p 1 ( i + I i i + N i + B d I k N k + B n s I k + 1 2 N k + 1 ) Δ t )

Reparametrizing to evaluate the relative importance of spread pathways and facilitate translation of transmission rates from published literature

Experimental contact rate estimates for ASF and other diseases from the literature are often provided separately for contacts that occur exclusively within or between pens. In what follows, we derive equations to calibrate the contact rates βd, βp, βns in our formulation according to published contact rates βw and βb by equating the force of infection (infection hazard for a susceptible pig) terms for within- and between-pen transmission components. Let θ be the mean proportion of the between-pen contacts associated with distance-independent pathways. Then equating the force of infection for a pig in pen k via nose-to-nose contact with pigs in adjacent pens gives

B b ( 1 θ ) I k 1 + I k + 1 N k 1 + N k + 1 = B n I k 1 + I k + 1 N k 1 + N k + 1

B n s = B b ( 1 θ ) (7)

The force of infection term for a pig in pen k for between-pen contacts via distance-independent mechanisms is given by Equation (8). The right-hand side (RHS) of Equation (8). is the product of the contact rate for distance-independent pathways, multiplied by the probability that the contact is with a pig in another pen and the probability that the contact is with an infectious pig given that it is in another pen.

B b θ i k I i i k N i = B p i k N i i N i i k I i i k N i

B p = B p θ i N i i k N i

Similarly, the force of infection for direct within-pen transmission under the two formulations would be as given in Equation (10). The second term on the RHS of Equation (10) is the contact rate for distance-independent mechanisms multiplied by the probability that the contact occurs within the same pen and the probability that the contact is with an infectious pig if it occurs within the same pen.

B w I k N k = B d I k N k + B P N k I k i N i N k

B d = B w B p N k i N i

Equations (7), (9), and (11) can be used to calibrate the model parameters for the alternative formulations in the literature that are estimated exclusively for within- and between-pen contact rates. The parameter θ can be used to control the proportion of between-pen transmission occurring via nose-to-nose contact with pigs in adjacent pens or through distance-independent mechanisms.

Comparison with Gillespie’s direct approach

We performed a simulation evaluation to help identify conditions where the heterogeneous model output differs from the homogeneous Gillespie algorithm. The heterogeneous and homogeneous models were parameterized according to the Genotype II highly virulent Georgia 2007/1 ASFV strain and compared by the mean number of infectious pigs over time post-virus exposure from 10,000 simulation iterations. The heterogeneous model simulations were based on a 1,200 growing pig barn with two rows of 15 pens each separated by a central alleyway and 40 pigs per pen. The heterogeneous model was compared to the homogeneous Gillespie algorithm implementation (Gillespie, 1977) with four disease states (susceptible, latent, infectious, and dead) where the pen structure within the barn was not considered, and all pigs were assumed to die following infection (c.f. 40% in Table 1 for moderately virulent strain). The mean latent and infectious periods were set to 4.0 and 4.5 days, respectively, based on a literature review by Hayes et al. (2021). In the heterogeneous model, the relative values of βd, βp, and βns were varied while equating their sum to the daily adequate contact rate in the homogeneous model to enable comparison. We evaluated two contact rate scenarios based on the literature. The βw and βb values in the fast contact rate scenario were, respectively, 2.62 and 0.99 per day based on (Hu et al., 2017). In the slow contact rate scenario, βw of 0.6 per day and βb of 0.3 per day were applied based on Guinat et al. (2016).

Let φ be the fraction of transmission from an infected pig that occurs within a pen, that is, . Then φ was calculated to be 0.73 and 0.67 based on the adequate contact rate estimates from Hu et al. (2017) and Guinat et al. (2016), respectively. In the first set of comparisons, we evaluated φ values of 0.5, 0.7, and 0.9 while assuming purely distance-independent between-pen transmission (θ=1) to evaluate the impact of the relative magnitudes of within- and between-pen transmission.

In the next set of comparisons, we compared the Gillespie model with the heterogeneous model for θ values of 0.05, 0.5, and 1 to help infer the impact of the relative contribution of distance-independent between-pen spread versus spread to adjacent pens via nose-to-nose contact. The fraction of within-pen transmission φ was assumed to be 0.7 for these simulations based on Hu et al. (2017) and Guinat et al. (2016).

Impact of heterogeneous within-herd transmission on the predicted time to ASF detection via increased mortality

In this section, we evaluate the predicted time to ASF detection under various transmission scenarios to understand how heterogeneous transmission, transmission in clusters due to adjacent pen spread, and barn size impact the time to detection via daily mortality trigger thresholds. We previously estimated the transmission parameters for moderately virulent ASFV strains using data presented by (de Carvalho Ferreira et al., 2013) in previous work (Malladi et al., 2022). Analysis of mortality data from five flows and 248 finisher herds indicated that a daily mortality trigger threshold of 5 per 1,000 finisher pigs results in a low frequency of false triggers (Malladi et al., 2022). The time to detection was then calculated as the earliest day when the simulated daily mortality exceeded a specified fraction of the herd (i.e., daily mortality trigger threshold). The disease state duration and other transmission parameters for moderately virulent ASFV strains applied in the time-to-detection analysis section are summarized in Table 1 and based on Malladi et al. (2022). Two barn configurations and population sizes were evaluated, specifically: (1) a growing pig barn with two rows of pens separated by a central alleyway with each row having 15 pens, each holding 40 pigs with a total population of 1,200 pigs and (2) a hypothetical growing pig barn with two rows of 60 pens each, again separated by a central hallway and each pen holding 40 pigs, but with a larger total population of 4,800 pigs. Although the larger quad barns with 4,800 pigs are typically organized into multiple rooms, we considered a conceptual 4,800-pig barn with a single airspace in this analysis to understand how barn size impacts the relative difference between the homogenous and heterogenous spread. The results were estimated from 10,000 simulation iterations.

Table 1. Disease state duration and transmission parameters used for simulating the time to detect moderately virulent ASFV.


Results

The results on the number of infectious pigs on various days post-exposure in a 1,200-growing pig barn for the Gillespie algorithm and the heterogeneous transmission model with various fractions of within-pen transmission (φ) are shown and compared in Figure 2. The predicted number of infectious pigs per the heterogeneous model was similar to the homogeneous Gillespie model when φ was 0.5. There was a more gradual increase in the predicted number of infectious pigs from outputs of the heterogeneous model when the fraction of within-pen spread (φ) was increased to 0.7 and 0.9. The differences between the heterogeneous and homogeneous results were more pronounced in the slow contact rate scenario.

The predicted number of infectious pigs on various days post-exposure in a barn with 1,200 pigs per the Gillespie algorithm and the heterogeneous transmission model with various fractions of distance-independent between-pen transmission (θ) and φ set to 0.7 are shown and compared in Figure 3. There was a greater difference between the heterogeneous model and the homogeneous Gillespie model at low θ values. Once again, the differences between the heterogeneous and homogeneous model results were more remarkable in the slow contact rate scenario. For example, and to summarize, the heterogeneous model predicted far fewer than 100 infectious pigs at 40 days post-exposure for slow contact rate scenarios and with either a high φ or low θ; whereas the homogeneous model predicted well over 100 infectious pigs at the same time point post-exposure.

The predicted time to detect ASF based on a daily mortality trigger threshold of 5 per 1,000 pigs is shown in Table 2. We observe that it may take significantly longer to detect ASF with the heterogeneous transmission model particularly in large populations in the same premises, for example, barns with a total population of 4,800 pigs or more, especially when the transmission predominantly occurs via nose-to-nose contact between pigs in adjacent pens. This effect is most noticeable when between-pen spread mainly occurs via nose-to-nose contacts (i.e., low θ of 0.05) and where transmission is clustered.

Fig. 2. Comparison of the number of infectious pigs in a 1,200-growing pig barn based on the homogeneous Gillespie algorithm and the heterogeneous transmission model with various fractions of within-pen transmission (φ) and distance-independent between-pen transmission (θ=1).

Fig. 3. Comparison of the number of infectious pigs in a 1,200-growing pig barn based on the homogeneous Gillespie algorithm and the heterogeneous transmission model with various fractions of distance-independent between-pen transmission (θ) among the total between-pen transmission.

Table 2. Predicted time to detect ASF based on a daily mortality trigger threshold of 5 per 1,000 pigs under various heterogeneous and homogeneous within barn transmission scenarios. The homogeneous model results are in italics for emphasis and comparison.


Discussion

Improved preparedness for and response to ASF outbreaks is vitally important given the socioeconomic impact associated with the ongoing epidemics globally. Mathematical models provide a platform to evaluate control strategies like control area surveillance protocols and can thus inform disease management policies and proactive risk assessments. Several approaches to disease dynamics modeling exist and one of the broad classifications is heterogeneous versus homogeneous transmission. These two approaches can have discrepancies in predicted outcomes and the choice of which to use is often informed by factors like the objective of the analysis, data availability, suspected or identified transmission pathways, and computational effort, among others. Comparing and contrasting these approaches can help harmonize and build confidence in their applications, ultimately providing more informative analyses of outbreak response and prevention.

From the model results displayed in Figure 2, we observe that the predicted mean number of infectious pigs was similar across the two approaches when the fraction of within-pen transmission φ was 0.5. The predicted numbers from the two models diverge as φ increases. In particular, the predicted mean number of infectious pigs was lower in the heterogeneous model at φ of 0.7 and 0.9 during the early stages of herd infection. The differences were more apparent in the slow contact rate scenario. This is likely due to the greater chance of generating higher φ values that occurs when the infectious pig makes contact with another infected pig in the same pen and thus does not result in disease transmission to a susceptible pig, which is a type of contact that subsequently results in slower between-pen transmission.

The results in Figure 3 and Table 2 show that there is a greater difference between the heterogeneous model and the homogeneous Gillespie model when the proportion between-pen contacts due to distance-independent pathways θ was low. Note that the parameter θ could be used to capture disease spread patterns observed in field ASF outbreaks that have been described as involving clusters of infected pens with jumps between pens via distance-independent pathways (Yaros, 2019; Nga et al., 2020). We hypothesize that the observed discrepancy is possibly due to the fact that between-pen spread would predominantly occur via nose-to-nose contact with pigs in adjacent pens due to the lower θ, and consequently, a substantial number of contacts may occur with pens that are already infected leading to slower disease transmission overall. Relatedly, Kong et al. (2016) compared heterogeneous and homogeneous mixing models and found that when the disease reproductive number is larger than one, in other words, when disease transmission is occurring at any rate, even low levels of heterogeneity resulted in dynamics similar to those predicted by the homogeneous mixing model. Although the results of time to detection analysis (Table 2) are for moderately virulent strains, the model disease state durations were implemented in a flexible framework to simulate both highly virulent and moderately virulent strains.

From Table 2 results, we observe that detecting ASF may take significantly longer when predicted with the heterogeneous transmission model, particularly in large barns, that is, those with 4,800 pigs, and when the transmission predominantly occurs via nose-to-nose contact between pigs in adjacent pens. A potential explanation for the longer time to detection in larger barns is that it would take higher daily mortality (24 pigs out of a 4,800-pig barn) to exceed the 0.005 mortality trigger threshold, by which time of likely occurrence, the infection has probably spread to multiple pens.

This analysis showed that homogeneous and heterogeneous model outcomes can match, but only under specific parameter-related conditions. That this matching can indeed occur provides evidence that the discrete individual-based approach can be used to approximate the continuous-time Gillespie approach with adequately small time steps. While the Gillespie approach is well understood and traditionally used in modeling the epidemiology of many diseases (Golightly and Gillespie, 2013; Vestergaard and Génois, 2015; Barongo et al., 2016; Hayes et al., 2021), we present here rationale and results supporting the use of the heterogeneous modeling approach which has the added benefits of being overall more malleable, approximate homogeneous spread, and has greater flexibility in the choice of disease state duration distributions based on experimental data.

The heterogeneous approach developed here can approximate the approaches used by Guinat et al. (2016) and Faverjon et al. (2021) by setting θ to zero, thereby forcing all between-pen transmission to occur due to direct contact. When their scaling factor is between zero and one, between-pen transmission is distance-dependent in Nielsen et al. (2017) approach, which assumes that there are more and/or higher risk transmission pathways closer to the source pen. We explicitly divide between-pen transmission into direct and distance-independent pathways, whereas in Nielsen et al. (2017), the pathways are expressed only in terms of distance. In both approaches, the pigs directly adjacent to the source pen face the highest infection pressure. However, in our approach, the non-adjacent pens have the same transmission risk, whereas in the Nielsen et al. (2017) approach, the transmission risk can modulate, decreasing as the distance from the source pen increases. The Nielsen et al. (2017) approach may be more appropriate for transmission risk from pathways like aerosols, which have been shown by Olesen et al. (2017) to spread ASFV over short distances within a farm.

In our evaluation of the heterogeneous model, we have seen that the simulated outcomes are sensitive to changes in the fraction of within-pen transmission (φ) and the mean proportion of the between-pen contacts associated with distance-independent pathways (θ). This underlines the importance of parameterizing the model using high-quality, detailed experimental, or outbreak data, or in the absence of such data, performing a sensitivity analysis for those parameters with substantial uncertainty.

The results of this analysis suggest that homogeneous mixing is a reasonable assumption for outbreaks with a high contact rate and when a large proportion of the disease spread is due to distance-independent pathways. If, however, the adequate contact rate is low and the disease spread is dependent on whether or not the pigs are in direct contact with each other within the same or in adjacent pens, then the homogeneous model may overestimate how quickly the virus moves through the population. If the results are overestimated, this can have serious consequences for decision-making based on the model output. For example, as observed in Table 2, the time to detection of ASFV by mortality triggers was lower under the homogeneous mixing assumption, especially in large barns.

Much as we focused on nose-to-nose contact, transmission to adjacent pens might also occur via contact through feces, urine depending on drain design, and fluid flow. Although the current formulation can be parametrized to capture the transmission via these mechanisms to some extent, detailed modeling of pen design and fluid flow needs to be addressed in future research. Note that we assumed that all pens were fully stocked and that the population was closed (i.e., with no pig introduction into or removal from the pen) during the simulated period. Also, factors such as housing structure, stocking density, and production type may all influence model predictions.


Conclusion

Overall, this study aimed to compare predictions from heterogeneous and homogeneous-based ASF transmission dynamics models in order to identify transmission scenarios and conditions where it may be very important and inevitable to use a heterogeneous model for accurate predictions. Given the potential differences in predicted outcomes, homogeneous and heterogeneous models should be selectively used depending on the objective of the analysis and the limitations at hand. When intervention strategies and disease surveillance options are developed using the most informative models, there is a potential opportunity to have a realized impact on disease control. The discrepancies observed in some of the scenarios assessed in this study emphasize the need to perform preliminary explorations on the suitability of the relatively simple disease transmission models that assume homogeneous mixing among individuals.


Acknowledgments

The authors would like to acknowledge the informal contributions and support of the entire Secure Food Systems team at the University of Minnesota, which also includes Catherine Alexander, David Halvorson, Michelle Leonard, Rosemary Marusak, and Miranda Medrano. We also greatly appreciate the modeling discussion with Dr. Don Klinkenberg of RIVM in the Netherlands. Swine production data was confidentially and kindly provided by the participants of the ASF risk assessment workgroup. ASF outbreak case descriptions were thoughtfully provided by Dr. Vu Dinh Ton of the Vietnam National University of Agriculture in Hanoi.

Funding

The authors are funded by a USDA National Institute of Food and Agriculture (NIFA) grant 2020-68014-30974 (The Secure Food System: a cross-commodity risk-based approach for preserving agricultural business continuity during disease emergencies), from a cooperative agreement between the Center for Epidemiology and Animal Health (CEAH) of the USDA, Animal and Plant Health Inspection Service (APHIS) Veterinary Services (VS) and the University of Minnesota (UMN) as USDA Award # AP20VSCEAH00C054 (Quantitative Analyses to Manage Transboundary/Emerging Diseases and Support Risk-based Decision-making), and as part of research project #20-077 SHIC for Swine Health Information Center’s agreement with UMN to conduct research entitled, “Determining the pathways for ASF introduction into boar studs and risk of ASF transmission via semen movements during an ASF outbreak.” Cardona and Corzo are also funded by the B.S. Pomeroy Chair in Avian Health and the Leman Chair in Swine Health and Productivity, respectively, at the University of Minnesota, College of Veterinary Medicine.

Conflict of interest

The authors declare that they have no competing interests.

Author contributions

AS, SM, PJB, KMS, TCB, TG, CJC, CAC, and MRC conceived the ideas of the study; AS, SM, PJB, and TB conceived the ideas for the analysis; SM, PJB, and AS performed the analyses; SM, AS wrote the manuscript; PJB, MRC were major contributors in writing the manuscript and all other authors commented on the manuscript. All authors read and approved the final manuscript.


References

Andraud, M. and Rose, N. 2020. Modelling infectious viral diseases in swine populations: a state of the art. Porcine Health Manag. 6, 22.

Bansal, S., Grenfell, B.T. and Meyers, L.A. 2007. When individual behaviour matters: homogeneous and network models in epidemiology. J. Royal Soc. Inter. 4, 879–891.

Barongo, M.B., Bishop, R.P., Fèvre, E.M., Knobel, D.L. and Ssematimba, A. 2016. A mathematical model that simulates control options for african swine fever virus (ASFV). PloS One 11, e0158658.

Becker, N.G. 1989. Analysis of infectious disease data. Boca Raton, FL: CRC Press.

Burr, T.L. and Chowell, G. 2008. Signatures of non-homogeneous mixing in disease outbreaks. Mathem. Computer Model. 48, 122–140.

Cai, C.R., Wu, Z.X. and Guan, J.Y. 2013. Behavior of susceptible-vaccinated-infected-recovered epidemics with diversity in the infection rate of individuals. Phys. Rev. E. Stat. Nonlin. Soft Matter Phys. 88, 062805.

Council of the European Union. 2002. Council directive 2002/60/EC of 27 June 2002 laying down specific provisions for the control of African swine fever and amending Directive 92/119/EEC as regards Teschen disease and African swine fever. Off. J. Eur. Union L 192, 27–46.

de Carvalho Ferreira, H.C., Backer, J.A., Weesendorp, E., Klinkenberg, D., Stegeman, J.A. and Loeffen, W.L.A. 2013. Transmission rate of African swine fever virus under experimental conditions. Vet. Microbiol. 165, 296–304.

Depner, K., Staubach, C., Probst, C., Globig, A., Blome, S., Dietze, K., Sauter-Luis, C. and Conraths, F.J. 2016. African Swine fever-epidemiological considerations and consequences for disease control. Tieraerztl. Umschau 71, 72–78.

Faverjon, C., Meyer, A., Howden, K., Long, K., Peters, L. and Cameron, A. 2021. Risk-based early detection system of African Swine Fever using mortality thresholds. Transbound. Emerg. Dis. 68, 1151–1161.

Gillespie, D.T. 1977. Exact stochastic simulation of coupled chemical reactions. J. Phys. Chem. 81, 2340–2361.

Golightly, A. and Gillespie, C.S. 2013. Simulation of stochastic kinetic models. Methods Mol. Biol. 1021, 169–187.

Guinat, C., Gubbins, S., Vergne, T., Gonzales, J.L., Dixon, L. and Pfeiffer, D.U. 2016. Experimental pig-to-pig transmission dynamics for African swine fever virus, Georgia 2007/1 strain. Epidemiol. Infect. 144, 25–34.

Hayes, B.H., Andraud, M., Salazar, L.G., Rose, N. and Vergne, T. 2021. Mechanistic modelling of African swine fever: a systematic review. Prev. Vet. Med. 191, 105358.

Hethcote, H.W. 1996. Modeling heterogeneous mixing in infectious disease dynamics. In Models for infectious human diseases: their structure and relation to data. Eds., Medley, G., Isham, V. Cambridge, UK: Cambridge University Press, pp: 215–238.

Hu, B., Gonzales, J.L. and Gubbins, S. 2017. Bayesian inference of epidemiological parameters from transmission experiments. Sci. Rep. 7, 16774.

Keeling, M.J. and Rohani, P. 2008. Modeling infectious diseases in humans and animals. Princeton, NJ: Princeton University Press.

Kinsley, A.C., VanderWaal, K., Craft, M.E., Morrison, R.B. and Perez, A.M. 2018. Managing complexity: simplifying assumptions of foot-and-mouth disease models for swine. Transbound. Emerg. Dis. 65, 1307–1317.

Kong, L., Wang, J., Han, W. and Cao, Z. 2016. Modeling heterogeneity in direct infectious disease transmission in a compartmental model. Int. J. Environ. Res. Public Health 13, 253.

Lee, H.S., Thakur, K., Nghia Bui, V., Pham, L., Bui, A., Dao, T., Thanh, V. and Wieland, B. 2020. A stochastic simulation model of African swine fever transmission in domestic pig farms in the Red River Delta region in Vietnam. Transbound. Emerg. Dis. 68(3), 1384–1391.

Malladi, S., Ssematimba, A., Bonney, P.J., St. Charles, K.M., Boyer, T., Goldsmith, T., Walz, E., Cardona, C.J. and Culhane, M.R. 2022. Predicting the time to detect moderately virulent African swine fever virus in finisher swine herds using a stochastic disease transmission model. BMC Vet. Res. 18, 84.

Mason-D’Croz, D., Bogard, J.R., Herrero, M., Robinson, S., Sulser, T.B., Wiebe, K., Willenbockel, D. and Godfray, H.C.J. 2020. Modelling the global economic consequences of a major African swine fever outbreak in China. Nature Food 1, 22–228.

Nga, B.T.T., Tran Anh Dao, B., Nguyen Thi, L., Osaki, M., Kawashima, K., Song, D., Salguero, F.J. and Le, V.P. 2020. Clinical and pathological study of the first outbreak cases of African swine fever in Vietnam, 2019. Front. Vet. Sci. 7, 392–392.

Nielsen, J.P., Larsen, T.S., Halasa, T. and Christiansen, L.E. 2017. Estimation of the transmission dynamics of African swine fever virus within a swine house. Epidemiol. Infect. 145, 2787–2796.

Normile, D. 2019. African swine fever marches across much of Asia. Science 364, 617.

OIE, 2020. The global economic impact of ASF. Bulletin; doi:10.20506/bull.2020.1.3119

Olesen, A.S., Lohse, L., Boklund, A., Halasa, T., Gallardo, C., Pejsak, Z., Belsham, G.J., Rasmussen, T.B. and Bøtner, A. 2017. Transmission of African swine fever virus from infected pigs by direct contact and aerosol routes. Vet. Microbiol. 211, 92–102.

Schulz, K., Conraths, F.J., Blome, S., Staubach, C. and Sauter-Louis, C. 2019. African swine fever: fast and furious or slow and steady? Viruses 11, 866.

Ssematimba, A., Okike, I., Ahmed, G.M., Yamage, M., Boender, G.J., Hagenaars, T.J. and Bett, B. 2018. Estimating the between-farm transmission rates for highly pathogenic avian influenza subtype H5N1 epidemics in Bangladesh between 2007 and 2013. Transbound. Emerg. Dis. 65, e127–e134.

Swine Health Information Center. 2021. ASF study find tooth extraction protocol in Vietnam unreliable. Available via https://www.feedstuffs.com/news/asf-study-find-tooth-extraction-protocol-vietnam-unreliable (Accessed 28 July 2021).

USDA. 2021. African swine fever (ASF). Available via https://www.aphis.usda.gov/aphis/ourfocus/animalhealth/animal-disease-information/swine-disease-information/african-swine-fever/seminar (Accessed 24 June 2021).

Vestergaard, C.L. and Génois, M. 2015. Temporal Gillespie algorithm: fast simulation of contagion processes on time-varying networks. PLOS Computational Biol. 11, e1004579.

Yaros, J. 2019. Our Experience with ASF in China; living in the World of ASF. Saint Paul, MN: University of Minnesota’s. Available via https://youtu.be/G4Cw28b1tvE



How to Cite this Article
Pubmed Style

Ssematimba A, Malladi S, Bonney PJ, Charles KMS, Boyer TC, Goldsmith T, Cardona CJ, Corzo CA, Culhane MR. African swine fever detection and transmission estimates using homogeneous versus heterogeneous model formulation in stochastic simulations within pig premises. Open Vet. J.. 2022; 12(6): 787-796. doi:10.5455/OVJ.2022.v12.i6.2


Web Style

Ssematimba A, Malladi S, Bonney PJ, Charles KMS, Boyer TC, Goldsmith T, Cardona CJ, Corzo CA, Culhane MR. African swine fever detection and transmission estimates using homogeneous versus heterogeneous model formulation in stochastic simulations within pig premises. https://www.openveterinaryjournal.com/?mno=45136 [Access: January 25, 2026]. doi:10.5455/OVJ.2022.v12.i6.2


AMA (American Medical Association) Style

Ssematimba A, Malladi S, Bonney PJ, Charles KMS, Boyer TC, Goldsmith T, Cardona CJ, Corzo CA, Culhane MR. African swine fever detection and transmission estimates using homogeneous versus heterogeneous model formulation in stochastic simulations within pig premises. Open Vet. J.. 2022; 12(6): 787-796. doi:10.5455/OVJ.2022.v12.i6.2



Vancouver/ICMJE Style

Ssematimba A, Malladi S, Bonney PJ, Charles KMS, Boyer TC, Goldsmith T, Cardona CJ, Corzo CA, Culhane MR. African swine fever detection and transmission estimates using homogeneous versus heterogeneous model formulation in stochastic simulations within pig premises. Open Vet. J.. (2022), [cited January 25, 2026]; 12(6): 787-796. doi:10.5455/OVJ.2022.v12.i6.2



Harvard Style

Ssematimba, A., Malladi, . S., Bonney, . P. J., Charles, . K. M. S., Boyer, . T. C., Goldsmith, . T., Cardona, . C. J., Corzo, . C. A. & Culhane, . M. R. (2022) African swine fever detection and transmission estimates using homogeneous versus heterogeneous model formulation in stochastic simulations within pig premises. Open Vet. J., 12 (6), 787-796. doi:10.5455/OVJ.2022.v12.i6.2



Turabian Style

Ssematimba, Amos, Sasidhar Malladi, Peter J Bonney, Kaitlyn M St. Charles, Timothy C Boyer, Timothy Goldsmith, Carol J Cardona, Cesar A Corzo, and Marie R Culhane. 2022. African swine fever detection and transmission estimates using homogeneous versus heterogeneous model formulation in stochastic simulations within pig premises. Open Veterinary Journal, 12 (6), 787-796. doi:10.5455/OVJ.2022.v12.i6.2



Chicago Style

Ssematimba, Amos, Sasidhar Malladi, Peter J Bonney, Kaitlyn M St. Charles, Timothy C Boyer, Timothy Goldsmith, Carol J Cardona, Cesar A Corzo, and Marie R Culhane. "African swine fever detection and transmission estimates using homogeneous versus heterogeneous model formulation in stochastic simulations within pig premises." Open Veterinary Journal 12 (2022), 787-796. doi:10.5455/OVJ.2022.v12.i6.2



MLA (The Modern Language Association) Style

Ssematimba, Amos, Sasidhar Malladi, Peter J Bonney, Kaitlyn M St. Charles, Timothy C Boyer, Timothy Goldsmith, Carol J Cardona, Cesar A Corzo, and Marie R Culhane. "African swine fever detection and transmission estimates using homogeneous versus heterogeneous model formulation in stochastic simulations within pig premises." Open Veterinary Journal 12.6 (2022), 787-796. Print. doi:10.5455/OVJ.2022.v12.i6.2



APA (American Psychological Association) Style

Ssematimba, A., Malladi, . S., Bonney, . P. J., Charles, . K. M. S., Boyer, . T. C., Goldsmith, . T., Cardona, . C. J., Corzo, . C. A. & Culhane, . M. R. (2022) African swine fever detection and transmission estimates using homogeneous versus heterogeneous model formulation in stochastic simulations within pig premises. Open Veterinary Journal, 12 (6), 787-796. doi:10.5455/OVJ.2022.v12.i6.2