E-ISSN 2218-6050 | ISSN 2226-4485
 

Research Article


Open Veterinary Journal, (2025), Vol. 15(6): 2365-2373

Research Article

10.5455/OVJ.2025.v15.i6.9

Phenotypic characterization of the Creole goat in the Southern Highlands of Peru: A first step toward the sustainable use of a forgotten zoogenetic resource

Emmanuel Alexander Sessarego1*, David Godoy-Padilla1, Yolvi Lopez Mendoza1 and Juancarlos Cruz-Luis1

1Dirección de Supervisión y Monitoreo en las Estaciones Experimentales Agrarias, Instituto Nacional de Innovación Agraria, Lima, Perú

*Correspondence to: Emmanuel Alexander Sessarego. Dirección de Supervisión y Monitoreo en las Estaciones Experimentales Agrarias, Instituto Nacional de Innovación Agraria, Lima, Perú. Email: e.sessarego14 [at] gmail.com

Submitted: 08/03/2025 Revised: 07/05/2025 Accepted: 17/05/2025 Published: 30/06/2025


Abstract

Background: Five hundred years ago, goats were introduced to Peru, and since then, they have adapted to different climatic conditions, giving rise to the Creole goat, characterized by showing greater rusticity and better quality in both milk and meat than specialized breeds.

Aim: This study aimed to describe the phenotype of the Creole goat in the Highlands of Chincha province, Ica.

Methods: A total of 146 females aged >2 years without signs of crossbreeding with specialized breeds from the districts of San Juan de Yanac, San Pedro de Huacarpana, and Chavin were evaluated. Six phaneroptic characteristics, nine morphometric characteristics, and nine zoometric indices were registered. Tables and bar graphs were prepared. The chi-square test was performed to determine the association between districts and phaneroptic variables, ANOVA to identify differences between districts, correlation coefficients to evaluate morphostructural harmonicity, and multiple regression analysis to predict the live weight of animals.

Results: Of the goats, 61.6% had a spotted coat, 59.6% had no beard, 75.3% had horns, 57.5% had parallel teats, 90.4% had no wattles, and 80.8% had the correct number of teats, showing an association between district and absence/ presence of beard (p = 0.001). All morphometric parameters and zoometric indices were homogeneous within each district, with differences between districts (p < 0.05).

Conclusion: The Creole goat of the high Andean area of Chincha is characterized by presenting a high morphostructural harmony, being medium to large in size, brevilineal, convexilinear and having a productive aptitude with a tendency to double purpose.

Keywords: Morphometry, Peruvian goat, Phaneroptics, Zoometric indexes.


Introduction

Goat farming plays a significant role in Peru, particularly in rural communities (Aguirre et al., 2021) that focus on dry forest regions, the central coast, and inter-Andean valleys and are dedicated to agriculture and livestock. In the country, goat breeding has historically been a traditional activity, maintaining a secondary status through an artisanal approach. This activity focuses on specific areas, and both the production and consumption of derived products are rooted in local culture (Ludeña et al., 2021). Goat production is the main source of food, milk, and meat for subsistence farmers. Because of this, it is common to find it in arid and semiarid areas, usually in small herds (IICA, 2021).

The Ica region has a population of 78,866 goats, of which 77.5% belong to the provinces of Pisco and Chincha (MIDAGRI, 2022), with a predominance of Creole goats. The breeding of this species, which on the central coast follows an extensive system, has great importance in the economy of low-income farmers (Bedada et al., 2019, Jembere et al., 2020), since it focuses on feeding with stubble of crops such as corn, cotton, cassava, asparagus, and natural grasses, still in many cases practicing transhumance that, depending on the time of year, take advantage of the availability of natural grasses in Andean bushes from March to July. In addition, producers in the Ica region are engaged in the production of dairy products, mainly cheese, which are demanded in some market segments. Undoubtedly, this activity plays an important role and is one of the main ones in the region. In the same way, goat-knit meat, weaned or older than 4 months of age, has a significant market demand (Sarria et al., 2014).

On the other hand, the goats introduced to the country half a millennium ago adapted to different climatic conditions and gave rise to the so-called Creole goat (Gómez et al., 2012), with unique and valuable characteristics such as greater rusticity, lower nutritional requirements, greater fertility, and better quality of milk and meat, compared to other goat breeds (Currò et al., 2019; Migdał et al., 2021). These qualities require characterization efforts for their conservation in order to use them in animal breeding programs and to maintain genetic diversity as part of food security (Torres-Hernández et al., 2022). Lanari et al. (2003) stated that the characterization of livestock breeds is indispensable to achieve the sustainable use of animal genetic resources and consists of three sources of information: phenotypic, genetic, and historical (FAO, 2012). Within phenotypic characterization, the first step is knowledge of the variation of morphological characteristics (Delgado et al., 2001), which allows the selection of animals with desirable characteristics and thus improves the productive parameters of the herd (Akounda et al., 2023). Therefore, the objective of this study was to describe for the first time the phaneroptic, morphometric, and zoometric characteristics of the Creole goat in the Highlands of the Chincha province, Ica region.


Materials and Methods

Research area

The investigation was carried out in the districts of San Juan de Yanac (2,533 masl, 13°12′39″S 75°47′13″W), San Pedro de Huacarpana (3,776 masl, 13°02′56″S 75°38′52″W) and Chavín (3,170 masl, 13°04′37″S 75°54′47″W), located in the mountains of Chincha province, Ica region, Peru (Fig. 1). According to INEI (2012), these districts are home to 60% of the goat population in Chincha. with a predominance of the Creole breed, which is raised under an extensive system and with a diet mainly based on stubble and natural grass.

Animals evaluated

A total of 146 goats over 2 years old based on their dentition, with no signs of crossing with specialized breeds (taking into account the color of the coat and level of production), from the districts of San Juan de Yanac (n = 91), San Pedro de Huacarpana (n = 29), and Chavin (n = 26), were evaluated to determine the state of homogeneity or heterogeneity of their morphological characteristics, both qualitative and quantitative (SEZ, 2009).

Study variables

Data were collected from 16 goat farms considering the possibilities of geographical access, support from public institutions, predisposition of goat producers, and availability of transportation. Six phaneroptic variables were recorded on printed sheets: coat color (COC), absence or presence of beard (BER), absence or presence of horns (HOR), teat direction (DOT), correct number of teats (CNT), and absence or presence of wattles (MAM). In the same way, with the support of a zoometric cane and a tape measure, nine morphometric variables were recorded (FAO, 2012): height at the withers (WIH), chest width (CHW), rump length (RUL), rump height (RUH), rump width (RUW), body length (BOL), cannon perimeter (CAP), abdominal perimeter (ABP), and thoracic perimeter (THP) (Fig. 2).

Fig. 1. Evaluated districts of Chincha province, Ica region, Peru.

With the above measures, nine zoometric indices were calculated (Parés, 2009): body index (BOI = (BOL / THP) × 100), pelvic index (PEI = (RUW / RUL) × 100), proportionality index (PRI = (WIH / BOL) × 100), dactyl–thoracic index (DTI = (CAP / THP) × 100), transverse pelvic index (TPI = (RUW/ WIH) × 100), longitudinal pelvic index (LPI = (RUL / WIH) × 100), compactness index (COI = (BOW / WIH) × 100), relative cannon thickness index (CTI = (CAP / WIH) × 100), and cannon load index (CLI = (CAP / BOW) × 100).

Statistical analysis

The database was systematized in Microsoft Excel and subsequently subjected to statistical analysis. For the phaneroptic variables, bar graphs were created and the chi-square test (χ2) was used for interdistrict contrast. For morphometric variables and zoometric indices, measures of central tendency (mean), dispersion [SE, minima, maxima, and coefficient of variation (CV)], and 95% confidence intervals were calculated. Likewise, these variables were subjected to the assumptions of variance normality and homogeneity to perform the variance unidirectional analysis and identify possible significant differences between districts, and the Tukey test was used for the contrast of means. Likewise, quantitative morphostructural harmonicity was evaluated through Pearson’s coefficients and multiple regression analysis to predict live weight based on the main morphometric measures using R Studio software, with a significance level of 0.05. The statistical model used to analyze the morphometric variables and zoometric indices was as follows:

Yi = μ + Li + ej

Fig. 2. Graphic representation of the anatomical points used to measure morphometric characteristics.

Where, Yi = morfometric variable or zoometric index recorded, μ = general mean, Li = effect of the i-th district (San Juan de Yanac, San Pedro de Huacarpana, Chavin), ei = random error associated with each observation.

Ethical approval

Not needed for this study.


Results

Phaneroptic parameters of the Creole goat in the Highlands of Chincha

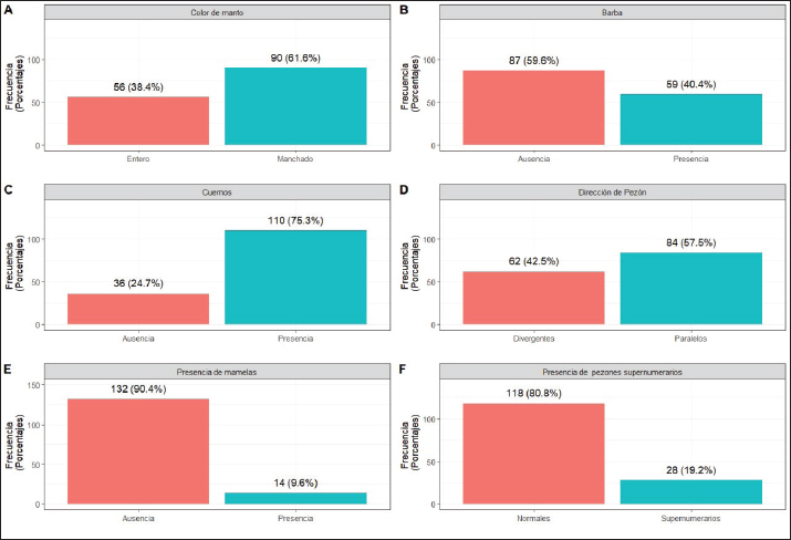
The results related to the color of the coat, beard, horns, parallel teats, wattles, and number of teats of the evaluated goats are shown in Figure 3. When comparing the results between districts, in Chavin, almost the same number of goats were observed with full color and spotted coats, and a greater number of them had divergent teats, and in San Juan de Yanac, almost the same number of goats were observed to have an absence or presence of a beard.

The only high association found was between the district and the BER (p = 0.001), as shown in Table 1.

Morphometric parameters of the Creole goat in the Highlands of Chincha

Table 2 shows a summary of the main descriptive statistical measures for the morphometric parameters of the Creole goats in the province of Chincha and shows that all presented a CV of less than 15%, which indicates that the population is very homogeneous (Herrera and Luque, 2009, Abd-Allah et al., 2019, Aguirre et al., 2021, Maksimović et al., 2023). However, there were differences between the districts evaluated (p ≤ 0.01) for the variables CHW, RUL, RUW, BOL, ABP, and THP (Table 3).

In general, the goats of the San Pedro de Huacarpana district were characterized by having less strength, being shorter and shallower; the goats of San Juan de Yanac were the deepest, at the barrel level, in addition to having a wider and deeper chest, which showed their greater adaptability to the high Andean area, and the goats of Chavin had a larger rump, which translates into greater ease of calving.

The correlation analysis found positive associations between the majority of morphometric parameters evaluated (88.89%, p < 0.05), which indicates that the Creole goat in the highAndean area of Chincha presented a high morphostructural harmony (Herrera and Luque, 2009), very similar to that reported by Silva-Jarquin et al. (2019), who mentioned that the black Creole goats of the central region of Mexico represented a morphologically homogeneous population, preserving a high harmonic model. In contrast, no significant correlations were observed between CHW and RUL, CHW and CAP, RUL and ABP, RUL and THP, and RUL and BOW (Table 4).

Fig. 3. Phaneroptic parameters of the Creole goat in the Highlands of Chincha province, Ica region, Peru.

Table 1. Association between the phaneroptic parameters of the Creole goat and the district in the Highlands of Chincha province, Ica region, Peru.

Table 2. Morphometric characteristics of Creole goat in the Highlands of Chincha province, Ica region, Peru.

Zoometric indices of Creole goats in each district

Table 5 shows a general summary of the zoometric indices of the Creole goat of Chincha, where it can be seen that the majority presented a CV of less than 15%, which again indicates that each population is very homogeneous (Aguirre et al., 2021), except for the CLI, which was slightly high. However, there were differences between the districts evaluated for the BOI, PEI, PRI, DTI, TPI, LPI, COI, and CLI indices (p ≤ 0.01) and differences for the CTI (p ≤ 0.05), as evidenced in Table 6.

The Creole goat of the Chincha high Andean area is characterized by being brevilineal (BOI < 85) (Parés, 2009); for presenting a convexilinear rump (PEI = 99.14) and according to the DTI = 10.67 and the PRI = 99.31, it can be concluded that it has a poorly defined productive aptitude, with a tendency to double purpose (Abarca-Vargas et al., 2020).

When comparing the three districts, it was observed that the goats of San Juan de Yanac had a rump that was wider than it was long (concavilinear), unlike the females of San Pedro de Huacarpana and Chavin (convexilinear). On the other hand, the goats of San Pedro de Huacarpana had higher PRI and lower TPI and LPI, indicating that they had more milk-producing aptitudes. Regarding legs, the goats of Chavin and San Pedro de Huacarpana had greater CTI and CLI, indicating greater limb strength, which gives them an advantage in high Andean areas above 3,000 m above sea level. A possible reason for the differences between the three districts could be the altitude and agroecology of each of them (Hankamo et al., 2020).

Table 3. Morphometric parameters of the Creole goat by district of the Highlands of Chincha province, Ica Region, Peru.

Table 4. Pearson correlation coefficients of the morphometric parameters in Creole goats from the Highlands of Chincha province, Ica region, Peru.

Undoubtedly, genetic improvement programs in goat species should consider selection by zoometry in addition to production, to maximize genetic progress (Fernández et al., 2023), since it defines longevity, resistance, improved productive capacity, and, consequently, its long-term profitability (Luigi-Sierra et al., 2019).


Discussion

Phaneroptic parameters

The results obtained in this study are consistent with those reported in other regions. Oyolo (2020) reported that the Creole goat from northern Lima is characterized by a predominantly nuanced COC, the presence of horns, the absence of beards, the absence of wattles, and the CNT. The same result was reported by Gómez et al. (2012), who found that goats of the Apurímac region had a spotted coat, horns, and the absence of wattles. In Nicaragua, goats were identified in greater proportion as having the CNT and, at the same time, not having horns and no wattles (Hernández et al., 2022).

Table 5. Zoometric indices of the Creole goat in the Highlands of Chincha province, Ica region, Peru.

Table 6. Zoometric indices of Creole goats by district in the Highlands of Chincha province, Ica region, Peru.

On the other hand, in Ecuador, the Creole goats of Loja were characterized by not having wattles or beards (Aguirre et al., 2021), and Barragán et al. (2019) found that the Creole goat of the Colima Valley in Mexico had a mixed color coat, presence of horns, absence of wattles, and vertically arrayed teats.

Morphometric parameters

Creole goats from the Highlands of Chincha were slightly taller than goats from the north of Lima (Oyolo, 2020) and Apurímac (Gómez et al., 2012), with WIH of 70.83 and 65 cm, respectively. Compared to Creole goats from other countries, Chincha goats were taller than goats from Nicaragua (Hernández et al., 2022), Zacatecas, Mexico (Sánchez et al., 2018); Mendoza, Argentina (Dayenoff et al., 2020); and Lara, Venezuela (Muñoz et al., 2014), with WIH of 70.83, 63.67, 66.41, and 63.2 cm, respectively. The Chincha Creole goat is considered a medium-to-large animal (Devendra and McLeroy, 1986; Hernández et al., 2022).

Zoometric indexes

Regarding the BOI, the results of the present study were similar to those found in Apurímac (Gómez et al., 2012), Colima in Mexico (Abarca-Vargas et al., 2020), and the northern region of Argentina (Revidatti et al. 2007), where goats were also considered to be brevilineal with a BOI greater than or equal to 80. On the other hand, the results differ from what was reported by Oyolo (2020) for Creole goats in the north of Lima, which are considered long-lined (BOI = 95.79), and in the case of native goats to the Amhara region in Ethiopia, they were classified as meso and long-lined with an BOI > 86 (Getaneh et al., 2022).

These variations can be attributed to environmental factors, zootechnical management, and local adaptation processes to the agroecological conditions of each region.


Conclusion

In the Creole goat of the Highlands of Chincha, the spotted coat, the absence of beard, the presence of horns, the parallel teats, the absence of wattles, and an appropriate number of teats for the species predominate, evidencing an association between the evaluated district and the BER. On the other hand, the morphometric parameters and zoometric indices were homogeneous within each district but differed between districts. Likewise, significant positive associations were found among most morphometric parameters, The above shows that the Creole goat from Chincha is characterized by presenting a high morphostructural harmony, being medium to large in size, brevilineal, convexilinear and having a poorly defined productive aptitude, which shows its tendency to double purpose, highlighting the need for conservation and genetic improvement strategies to optimize its contribution to high Andean production systems.


Acknowledgments

The authors thank all the goat farmers who allowed and even supported the measurement of the bodies of their animals.

Conflict of interest

The authors declare no conflict of interest.

Funding

This research was funded by The Project with CUI No. 2506684 called “Improvement of research services and technology transfer for the sustainable management of goat farming in dry forest areas, in the departments of Tumbes, Piura, Lambayeque, Amazonas, La Libertad, Ancash, Lima, Ica and Ayacucho”.

Authors’ contributions

Y.L.M. and D.G.P.: Conceptualization, methodology, and revision of the manuscript. E.S.D.: Data collection, data analysis, and writing of the original manuscript. J.C.L.: Project management, fund acquisition, and revision of the manuscript. All authors have read the manuscript.

Data availability

All data were provided in the manuscript and available from the corresponding author.


References

Abarca-Vargas, D., Macedo-Barragán, R., Arredondo-Ruiz, V., Valencia-Posadas, M., Ayala-Valdovinos, M.á. and Hernández-Rivera, J.A. 2020. Análisis de la morfología de la cabra mestiza de la subprovincia fisiográfica Volcanes de Colima, México. Rev. Investig. Vet. Peru 31(3), e16935; doi:10.15381/ rivep.v31i3.16935

Abd-Allah, S., Salman, F.M., Shoukry, M.M., Abd-El Rahman, H.H., Mohamed, M. and Abedo, A. 2019. Study of some morphological characteristics of boer goat raised in Egypt. Adv. Anim. Vet. Sci. 7(10), 88–897; doi:10.17582/journal.aavs/2019/7.10.888.897

Aguirre, E.L., Quezada, M., Maza, T., Albito, O., Armijos, D.R., Flores, A. and Camacho, O. 2021. Descripción morfométrica y faneroptica de la cabra “Chusca lojana” del bosque seco del Sur del Ecuador. Arch. Zootec. 70(270), 172–176; doi:10.21071/az.v70i270.5469

Akounda, B., Ouédraogo, D., Soudré, A., Burger, P.A., Rosen, B.D., Van Tassell, C.P. and Sölkner, J. 2023. Morphometric characterization of local goat breeds in two agroecological zones of Burkina Faso, West Africa. Animals 13(12), 1931; doi:10.3390/ ani13121931

Barragán, R.M., Vargas, D.A., Ruiz, V.A. and Rivera, J.H. 2019. Caracterización de la cabra criolla en la subprovincia Volcanes de Colima y su sistema de producción. Arch. Zootec. 68(263), 332–341; doi:10.21071/az.v68i263.4190

Bedada, Z.E., Gilo, B.N. and Debela, G.T. 2019. Morphometric and physical characterization of Borana indigenous goats in Southern Oromia, Ethiopia. Univers. J. Agric. Res. 7(1), 25–31; doi:10.13189/ujar.2019.070104

Currò, S., Manuelian, C.L., De Marchi, M., De Palo, P., Claps, S., Maggiolino, A., Campanile, G., Rufrano, D., Fontana, A., Pedota, G. and Neglia. G. 2019. Autochthonous dairy goat breeds showed better milk quality than Saanen under the same environmental conditions. Arch. Anim. Breed. 62(1), 83–89; doi:10.5194/aab-62-83-2019

Dayenoff, P.M., Dri, P., Macario, J.E., Pizarro-Castaño, J.M., Silva-Jarquín, J.C., Andrade-Montemayor, H. and Jaeggi, L. 2020. Características morfológicas de la Cabra Criolla del Sur de Mendoza, Argentina. Cienc. Vet. 22(2), 97–118; doi:10.19137/cienvet202022202

Delgado, J.V., Barba, C., Camacho, M., Sereno, F., Martinez, A. and Vega-Pla, J. 2001. Livestock characterisation in Spain. Anim. Genet. Resour. 29, 7–18.

Devendra, C. and Mc LeRoy, G.B. 1986. Producción de cabras y ovejas en los trópicos. Mexico City, México: Editorial El Mundo Moderno.

FAO. 2012. Phenotypic characterization of animal genetic resources. FAO Animal Production and Health Guidelines: No 11. Rome, Italy: Food and Agriculture Organization of the United Nations.

Fernández álvarez, J., Navas González, F.J., León Jurado, J.M., Iglesias Pastrana, C. and Delgado Bermejo, J.V. 2023. Analysis of the genetic parameters for dairy linear appraisal and zoometric traits: a tool to enhance the applicability of Murciano-Granadina goats major areas evaluation system. Animals 13(6), 1114; doi:10.3390/ani13061114

Getaneh, M., Taye, M., Kebede, D. and Andualem, D. 2022. Structural indices of indigenous goats reared under traditional management systems in East Gojjam Zone, Amhara Region, Ethiopia. Heliyon 8(3), e09180; doi:10.1016/j.heliyon.2022.e09180

Gómez, N., Bustinza, R., Revidatti, M., Ferrando, A., Milán, M.J. and Jordana, J. 2012. Caracterización morfológica y faneróptica de la cabra Apurimeña Peruana. AICA 2(57), 57–60.

Hankamo, A., Woldeyohannes, T. and Banerjee, S. 2020. Morphometrical characterization and structural indices of indigenous goats reared in two production systems in Sidama zone, Southern Ethiopia. Int. J. Anim. Sci. Technol. 4, 6–16; doi:10.11648/j.ijast.20200401.12

Hernández Baca, M.H., Estrada, O.C.C. and López, M.L.á. 2022. Comportamiento de variables morfoestructurales y fanerópticas, en cabras (Capra hircus), de comunidades campesinas del municipio de Nindirí, Masaya. La Calera 22(38), 53–63; doi:10.5377/calera.v22i38.14213

Herrera, M. and Luque, M. 2009. Morfoestructura y sistemas para el futuro en la valoración morfológica. In Valoración morfológica de los animales domésticos. Ed., Astiz, C.S. Madrid, Spain: Ministerio de Medio Ambiente y Medio Rural y Marino, pp: 79–102.

IICA. 2021. La carne de ovinos y caprinos, una alternativa para la seguridad alimentaria, afirman productores. Gurugram, India: IICA.

INEI. 2012. Base de datos del IV CENAGRO. Lima, Perú: Available via https://proyectos.inei.gob.pe/ CenagroWeb/#

Jembere, T., Haile, A, Dessie, T., Kedebe, K., Okeyo, A.M. and Rischkowsky, B. 2020. Productivity of abergelle, central highland and Woyto-Gui goat breeds in Ethiopia. Livestock Res. Rural Dev. 32(8), 16.

Lanari, M.R., Taddeo, H., Domingo, E., Centeno, M.P. and Gallo, L. 2003. Phenotypic differentiation of exterior traits in local Creole goat population in Patagonia (Argentina). Arch. Anim. Breed. 46, 347–356; doi:10.5194/aab-46-347-2003

Ludeña, A.L., Ludeña, á.A., Cunguia, D. and Timana, S. 2021. Competitividad en la gestión de productores caprinos. RUS 13(5), 507–514.

Luigi-Sierra, M.G., Landi, V., Guan, D., Delgado, J.V., Castelló, A., Cabrera, B., Mármol-Sánchez, E., Fernández-álvarez, J., Martínez, A., Such, J., Jordana, A. and Amills, M. 2019. Identification of genomic regions associated with morphological traits in Murciano-Granadina goats. In 37th International Conference on Animal Genetics (ISAG), Lleida, España. Available via http://hdl. handle.net/10261/209650

Maksimović, N., Cekić, B., ćosić, I., RuĆić Muslić, D., Caro Petrović, V., Stojiljković, N. and Stanišić, N. 2023. Discriminant analysis approach in morphometric differentiation and characterization of serbian autochthonous goats. Animals 13(12), 1952; doi:10.3390/ani13121952

MIDAGRI. 2022. Perfil productivo y competitivo de las principales especies y productos pecuarios. Lima, Peru: MIDAGRI. Available via https://siea. midagri.gob.pe/portal/siea_bi/index.html

Migdał, W., Kawęcka, A., Sikora, J. and Migdał, ł. 2021. Meat quality of the native carpathian goat breed in comparison with the Saanen breed. Animals 11(8), 2220; doi:10.3390/ani11082220

Muñoz, G.M., Granda, Y. and Rosas, B. 2014. Caracterización Etnológica del ecotipo “Caprino Creole” de la Microrregión Cauderales, Lara, Venezuela. Zootec. Trop. 32(3), 267–269. Available via http://sian.inia.gob.ve/repositorio/revistas_ci/ ZootecniaTropical/zt3203/pdf/zt3203_munoz.pdf

Oyolo, J. 2020. Caracterización faneróptica y morfométrica del caprino Creole de las provincias de Barranca, Canta, Huaral y Huaura de la región Lima, Tesis de pregrado, Universidad Católica Sedes Sapientiae, Huacho, Peru.

Parés, P.M. 2009. Zoometría. In Valoración morfológica de los animales domésticos. Ed., SEZ. Madrid, Spain: Ministerio de Medio Ambiente y Medio Rural y Marino, pp: 167–198.

Revidatti, M.A., Prieto, P.N., de La Rosa, S., Ribeiro, M.N. and Capellari, Y. 2007. Cabras criollas de la región norte Argentina. Estudio de variables e índices zoométricos. Arch. Zootec. 56(Sup1), 479–482. Available via http://www.redalyc.org/articulo. oa?id=49509919

Sánchez, R.S, Luna, R.G. and Nájera, M.D.J.F. 2018. Caracterización morfológica de un rebaño de conservación de cabras criollas en Zacatecas, México. Arch. Zootec. 67(257), 73–79; doi:10.21071/az.v67i257.3493

Sarria, J.A., Ruiz, F.A., Mena, Y. and Castel, J.M. 2014. Caracterización y propuestas de mejora de los sistemas de producción caprina de la costa central de Perú. Rev. Mex. Cienc. Pecu. 5(4), 487–504.

SEZ. 2009. Valoración morfológica de los animales domésticos. Madrid, Spain: Ministerio de Medio Ambiente y Medio Rural y Marino.

Silva-Jarquin, J.C., Román-Ponce, S.I., Durán-Aguilar, M., Vera-ávila, H.R., Cambrón-Sandoval, V.H. and Andrade-Montemayor, H.M. 2019. Morphostructural characterization of the Black Creole goat raised in Central Mexico, a currently threatened zoogenetic resource. Animals 9(7), 459; doi:10.3390/ani9070459

Torres-Hernández, G., Maldonado-Jáquez, J.A., Granados-Rivera, L.D., Salinas-González, H. and Castillo-Hernández, G. 2022. Status quo of genetic improvement in local goats: a review, Arch. Anim. Breed. 65, 207–221; doi:10.5194/ aab-65-207-2022



How to Cite this Article
Pubmed Style

Sessarego EA, Godoy-padilla D, Mendoza YL, Cruz-luis J. Phenotypic characterization of the Creole goat in the Southern Highlands of Peru: A first step toward the sustainable use of a lost zoogenetic resource. Open Vet. J.. 2025; 15(6): 2365-2373. doi:10.5455/OVJ.2025.v15.i6.9


Web Style

Sessarego EA, Godoy-padilla D, Mendoza YL, Cruz-luis J. Phenotypic characterization of the Creole goat in the Southern Highlands of Peru: A first step toward the sustainable use of a lost zoogenetic resource. https://www.openveterinaryjournal.com/?mno=226160 [Access: December 11, 2025]. doi:10.5455/OVJ.2025.v15.i6.9


AMA (American Medical Association) Style

Sessarego EA, Godoy-padilla D, Mendoza YL, Cruz-luis J. Phenotypic characterization of the Creole goat in the Southern Highlands of Peru: A first step toward the sustainable use of a lost zoogenetic resource. Open Vet. J.. 2025; 15(6): 2365-2373. doi:10.5455/OVJ.2025.v15.i6.9



Vancouver/ICMJE Style

Sessarego EA, Godoy-padilla D, Mendoza YL, Cruz-luis J. Phenotypic characterization of the Creole goat in the Southern Highlands of Peru: A first step toward the sustainable use of a lost zoogenetic resource. Open Vet. J.. (2025), [cited December 11, 2025]; 15(6): 2365-2373. doi:10.5455/OVJ.2025.v15.i6.9



Harvard Style

Sessarego, E. A., Godoy-padilla, . D., Mendoza, . Y. L. & Cruz-luis, . J. (2025) Phenotypic characterization of the Creole goat in the Southern Highlands of Peru: A first step toward the sustainable use of a lost zoogenetic resource. Open Vet. J., 15 (6), 2365-2373. doi:10.5455/OVJ.2025.v15.i6.9



Turabian Style

Sessarego, Emmanuel Alexander, David Godoy-padilla, Yolvi Lopez Mendoza, and Juancarlos Cruz-luis. 2025. Phenotypic characterization of the Creole goat in the Southern Highlands of Peru: A first step toward the sustainable use of a lost zoogenetic resource. Open Veterinary Journal, 15 (6), 2365-2373. doi:10.5455/OVJ.2025.v15.i6.9



Chicago Style

Sessarego, Emmanuel Alexander, David Godoy-padilla, Yolvi Lopez Mendoza, and Juancarlos Cruz-luis. "Phenotypic characterization of the Creole goat in the Southern Highlands of Peru: A first step toward the sustainable use of a lost zoogenetic resource." Open Veterinary Journal 15 (2025), 2365-2373. doi:10.5455/OVJ.2025.v15.i6.9



MLA (The Modern Language Association) Style

Sessarego, Emmanuel Alexander, David Godoy-padilla, Yolvi Lopez Mendoza, and Juancarlos Cruz-luis. "Phenotypic characterization of the Creole goat in the Southern Highlands of Peru: A first step toward the sustainable use of a lost zoogenetic resource." Open Veterinary Journal 15.6 (2025), 2365-2373. Print. doi:10.5455/OVJ.2025.v15.i6.9



APA (American Psychological Association) Style

Sessarego, E. A., Godoy-padilla, . D., Mendoza, . Y. L. & Cruz-luis, . J. (2025) Phenotypic characterization of the Creole goat in the Southern Highlands of Peru: A first step toward the sustainable use of a lost zoogenetic resource. Open Veterinary Journal, 15 (6), 2365-2373. doi:10.5455/OVJ.2025.v15.i6.9